Hintergrundwerte
Hintergrundwerte von Spurenstoffen in hessischen Böden
Die aktuelle Auswertung der Hintergrundwerte ist in dem Bericht "Hintergrundwerte von Spurenstoffen in hessischen Böden" dokumentiert. Die dort in tabellarischer Form aufgeführten Werte lassen sich anhand von Substratgruppenkarten räumlich zuordnen. Diese sind, differenziert nach Oberboden, Unterboden und Untergrund, im BodenViewer Hessen eingebunden und können im Maßstab 1:25.000 bis 250.000 dargestellt werden. Mittels Abfragen können die Werte für die jeweiligen Substrate dort direkt eingesehen werden. |
|---|
Hintergrundwerte sind repräsentative Werte für allgemein verbreitete Hintergrundgehalte eines Stoffes oder einer Stoffgruppe in Böden. Sie beschreiben den stofflichen Ist-Zustand und bilden Vergleichswerte für verschiedene Fragestellungen des Bodenschutzes. Der Hintergrundgehalt eines Bodens setzt sich zusammen aus dem natürlichen (geogenen) Grundgehalt und flächenhaften, diffusen Einträgen. Der geogene Grundgehalt ergibt sich aus dem Ausgangsgestein (lithogener Anteil) und den durch bodenbildende Prozesse beeinflussten An- oder Abreicherungen von Stoffen (pedogener Anteil).
Datengrundlagen
Die Datenbasis zur Ableitung der Hintergrundwerte bildet das Bodenzustandskataster Hessen, welches im Bodenformenarchiv (BoFA) verwaltet wird. Als statistische Kennwerte zur Charakterisierung der Hintergrundwerte werden das 50. und das 90. Perzentil herangezogen.
Die Bodendaten zur Ableitung der Hintergrundwerte anorganischer Spurenstoffe wurden im Rahmen diverser Projekte über einen langen Zeitraum erhoben. Neben aktuellen Erhebungen, wie beispielsweise der Bodeninventur oder der Bodendauerbeobachtung, flossen auch Datensätze abgeschlossener Projekte (sog. Altdaten) mit ein. Insgesamt wurden rund 2800 untersuchte Standorte mit einem Vielfachen an Proben ausgewertet.
Für die Ermittlung von Hintergrundwerten organischer Spurenstoffe wird der Erhebungszeitraum enger gefasst, da diese in Böden Ab- und Umbauprozessen unterliegen. Auch besteht für einige Stoffgruppen bereits seit längerer Zeit ein Anwendungsverbot, so dass von einer Abnahme der Gehalte ausgegangen werden kann. Generell werden daher möglichst aktuelle Datenkollektive verwendet, die nicht älter als ein Jahrzehnt sein sollten. Für die Berechnung der Hintergrundwerte wurden knapp 200 untersuchte Standorte ausgewertet.
Anorganische Spurenstoffe
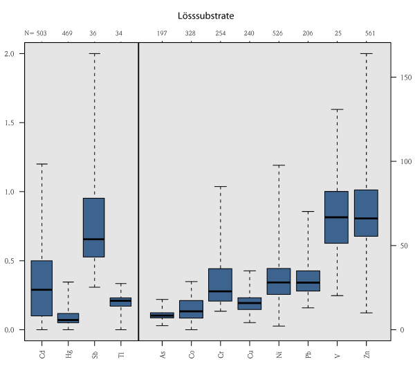
Die wichtigste Einflussgröße für die Gehalte anorganischer Stoffe in Böden bildet das Ausgangssubstrat, da es das gesamte Bodenprofil prägt. Das Ausgangssubstrat wird durch die bodenbildenden Ausgangsgesteine (Fest- oder Lockergesteinszersatz) sowie durch eingemischte oder überlagernde Fremdkomponenten (v.a. Löss) charakterisiert. Für Hessen werden insgesamt 29 Substratgruppen differenziert.
Die Hintergrundwerte für die einzelnen Substratgruppen werden untergliedert nach den Horizontgruppen Auflage, Oberboden, Unterboden und Untergrund ermittelt. Da die Oberboden- und Auflagenhorizonte durch die Bodennutzung und diffuse atmogene Einträge beeinflusst sind, wird bei ausreichender Datengrundlage weiter nach Nutzungsklassen (Acker, Grünland, Wald) und Gebietstypen (vorwiegend ländlich geprägte Räume und Verdichtungsräume) untergliedert. Zusätzlich werden substratübergreifende Hintergrundwerte für die Nutzung Weinbau (Rigosole) bestimmt.
Insgesamt werden Hintergrundwerte (königswasser- und teils ammoniumnitratextrahierbare Gehalte) für bis zu 14 anorganische Spurenstoffe zur Verfügung gestellt. Sie können räumlich über den BodenViewer Hessen unter der Themenrubrik "mittelmaßstäbig (1:50.000)/Hintergrundwerte" abgefragt werden. Hier werden die Substratgruppen für Ober- und Unterböden sowie Untergrund dargestellt. Die entsprechenden Hintergrundwerte können direkt über eine räumliche Abfrage visualisiert werden.
Organische Spurenstoffe
Der Hintergrundgehalt organischer Spurenstoffe resultiert überwiegend aus den diffusen anthropogenen Einträgen. Eine geogene Komponente ist i.A. vernachlässigbar. Die bedeutendste Einflussgröße für den Hintergrundgehalt stellt die Bodennutzung dar. Nutzungsspezifische Stoffeinträge und Bearbeitungszustände bedingen zusätzliche Belastungen und die Stoffverteilung im Boden. Deshalb werden Hintergrundwerte getrennt nach Nutzung (Acker, Grünland, Wald), Horizontgruppe (Auflage, Oberboden) und Gebietstyp (vorwiegend ländlich geprägte Räume und Verdichtungsräume) ermittelt.
Hinweis für den Vollzug
Für stoffliche Bodenschutzfragestellungen muss der Hinweis gegeben werden, dass die regionale Differenzierung der Substratgruppen und die präsentierten Hintergrundwerte einen Übersichtscharakter besitzen. Lokal können die Substrate variieren und die Hintergrundgehalte daher abweichen. Für konkrete Fragestellungen des Vollzugs der Bodenschutzgesetze sind eine differenzierte Ermittlung der lokalen Substrate und gegebenenfalls eine Analyse von Bodenproben erforderlich.
Der Bericht ist als Blattsammlung konzipiert, so dass er zukünftig erweitert und aktualisiert werden kann. Die Aktualisierungen werden auf dieser Seite zum Download bereit gestellt. Bisher beschränkt er sich auf die Darstellung anorganischer Spurenstoffe; die sich aktuell in der Bearbeitung befindliche Auswertung von Hintergrundwerten organischer Spurenstoffe wird die Sammlung zeitnah ergänzen.


![Königswasserextrahierbare Spurenstoffe im Oberboden von Lösssubstraten [mg/kg]](/fileadmin/_processed_/7/c/csm_A9R9D0F_d1b7900669.png)